电影摄影机
 
CineAltaB
参考价格:¥

创作者视角:初印象

先进的 8.6K 全画幅传感器 一 电影级画质

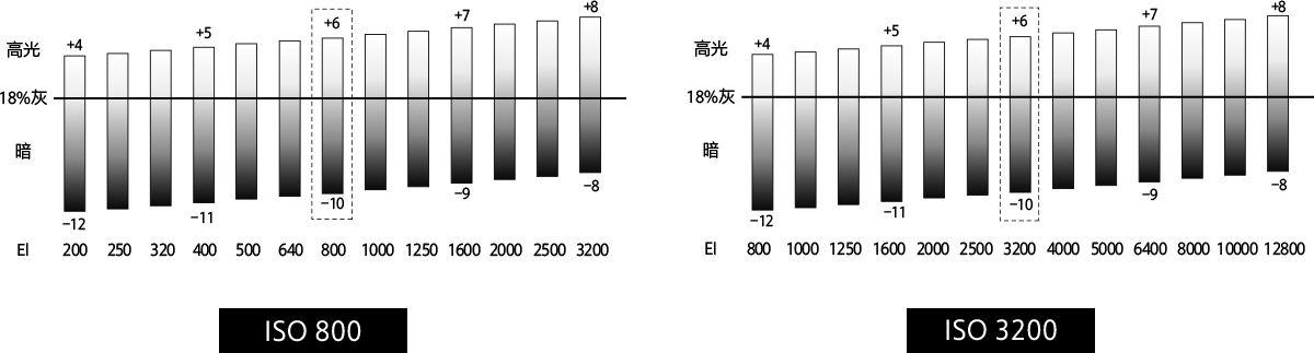
CineAltaB 配备 8.6K 全画幅传感器,具有ISO 800 和 ISO 3200 双原生ISO以及 16 档宽容度,提供出色的影像质感。与索尼全画幅 8K 电影摄影机CineAltaV 2 一样,
CineAltaB 可以在全画幅和 Super 35mm 格式下进行录制,最高可实现 8K 30p、6K 60p 或 4K 120p 的拍摄,可以根据创作需求自由切换。
同时,新品具有变宽反挤压显示功能,适配广泛的变形宽荧幕电影镜头。新品还继承了与CineAltaV 2相同的色彩科学和后期流程,可轻松匹配 CineAltaV 2,
在多机位协作时,提供更好的色彩一致性和精确性,有助于提高后期处理的效率和效果。

传感器模式

* 对于某些镜头,帧速率可能有上限,这取决于与录制格式的组合。

双原生ISO

CineAltaB 具备双原生ISO,因此传感器可提供原生ISO800 和原生ISO3200,高原生ISO3200 在低光照,高动态范围拍摄中都表现出色,曝光宽容度涵盖从超过 6 档到低
于 18% 中灰的 10 档,总共 16 档。

具有ISO 800 和ISO 3200 双原生ISO以及16档宽容度

紧凑轻量化耐用的机身设计

根据广大影视制作者的反馈,CineAltaB 改进了机身按钮的布局设计。
例如,所有菜单按钮都位于摄像师的同一侧,并且在三个位置设计了 Tally 录制灯,方便周围的工作人员检查拍摄状态。
此外,新的 3.5 英寸多功能液晶显示屏还支持取景、触摸对焦和菜单控制等功能。
CineAltaB 配备了可选的T形竖拍手柄,可在肩扛模式下操控摄影机,而且握持也很舒适。

紧凑、轻巧的机身设计,能够在狭小空间拍摄,适合小型团队和单人拍摄项目

机身重量 2.85kg,比 CineAltaV 2 短 32mm,轻1.45kg(CineAltaV 2 机身重量 4.3kg)

搭配稳定器或肩扛式都适合单人拍摄

CineAltaB 机身紧凑,相比CineAltaV 2体积小约30%,重量减少约 1.45kg,具有较高的机动性。
新品机身采用坚固的镁合金,具有很强的抗腐性和耐划伤性,可以在严苛的拍摄条件下长期工作。

PL/E双卡口设计

CineAltaB 采用双卡口设计,不仅可以使用高质量的 PL 电影镜头也可以搭配超过 70+支E卡口镜头,
不仅可以减轻整套系统的重量和体积,也可实现优秀的防抖功能以及呼吸补偿。

支持E卡口镜头 搭载AI智能芯片实现高精度自动对焦

CineAltaB 可搭配超过 70+ 支E卡口镜头,不仅可以减轻整套系统的重量和体积,也可实现优秀的防抖功能。低照度或高速运动场景是跟焦员的棘手难题。
新品采用了AI智能芯片,支持多种主体识别,实现高精度的自动对焦。并且,CineAltaB结合相位和对比度检测优势,可实现快速混合自动对焦。
触摸对焦和触摸跟踪功能允许用户通过触控LCD 显示屏来设定对焦对象,大大提高了拍摄效率,使单人操作也成为可能。

内置光学防抖系统 拍摄更稳定

CineAltaB 是索尼第一款采用 PL 卡口和内置防抖系统的数字电影摄影机。新品借鉴了索尼 Alpha 系列微单™相机积累的先进影像防抖技术,利用新开发的影像稳定机制和控制算法,可以在搭配 E卡口或 PL 卡口镜头手持移动拍摄时,减少不必要的抖动。

电子无级ND滤镜 优化曝光

CineAltaB 配备了 0.6( 1/4=2 档)至 2.1(1/128=7 档)电子无级ND滤镜,可在不同光线环境下调整曝光,适应不同的光照条件避免繁琐的滤镜更换,从而节省时间,提高拍摄效率。
此外,电子无级ND滤镜可以使用户在不改变景深的情况下控制曝光。

丰富的专业接口

丰富的记录格式
后期制作更灵活高效

索尼 CineAltaB 电影摄影机可以根据不同的分辨率、宽高比和编码格式,录制从 HD 到 8K 规格的视频。新品支持多种内部录制格式,例如用于 8K 视频拍摄的采用 MPEG-H HEVC/H.265 高压缩率编解码器的新 XAVC H™ 格式。其他录制格式还包括 XAVC 和X-OCN(LT)。X-OCN 是索尼原创的压缩 RAW 格式,它可以捕捉使用 16-Bit 色深数据拍摄的信息,为电影制作者在后期调色时提供了更大的自由度。X-OCN(LT)可以减少文件传输时间和存储空间,相比标准版本的Sony RAW 数据,使后期制作流程更加高效。

使用 CFexpress Type
大容量高速存储卡

CineAltaB 还配备了两个通过 VPG400 认证的 CFexpress Type B 存储卡插槽,支持包括 X-OCN(LT)8K 在内的高比特率视频数据写入。

为了支持 CineAltaB 的高规格录制,满足多种拍摄场景的需求,和CineAltaB 一起推出的还有索尼新开发的 CFexpressType B 存储卡 CEB-G1920T 和
CEB-G960T。新品不仅支持 VGP400标准,满足 8.6K 30fps X-OCN 的录制规格,而且具备 TOUGH 规格具有出色的抗弯折和抗跌落表现,可以抵抗约 70N(牛)的弯折可承受最高 5m 跌落的冲击,使数据传输更加安全和可靠。

丰富高效的创作生态系统

CineAltaB 电影摄影机支持Log 记录模式,包括 S-Gamut3 和S-Gamut3.Cine,这种色彩空间覆盖的色域超过了 BT.2020 和 DCI-P3。
新品 CineAltaB 还具备四种崭新的色彩外观: Warm,Cool, Vintage 和 Teal and Orange,支持行业标准s709 和 709 (800) LUT,
帮助用户在拍摄时采用不同的监看模式,提高制作效率。
用户也可以使用 SD 卡导入自定义LUT,在拍摄中进行更精确的曝光和颜色控制,减少后期制作所需的时间。
此外,与CineAltaV系列一样,CineAltaB可以使用如 Crystal LED 黑彩晶系列大屏进行虚拟制作。CineAltaB 具有 GENLOCK 同步锁相功能。

GP-VR100 手柄遥控器

适用于 CineAltaB 的 GP-VR100 手柄遥控器。新手柄支持控制变焦杆和录制开始/停止按钮等主要操作,方便单人拍摄时进行操控。
此外,通过操作手柄遥控器手臂底部的杠杆,无需松开螺丝,可一键调整手臂角度,提高操作便利性。

应用程序 Monitor & Control

Monitor & Control 是一款免费的应用程序,创作者可以通过智能手机或平板设备,无线连接摄影机,对摄影机进行无线监控、对焦控制等移动操控。

Camera and Display Plugin 摄影机与显示器虚拟制作插件

虚拟制作的挑战

许多电影摄影技师担心画面质量较绿幕拍摄会有所下降。可视化预览片场画面并非易事,且成本高昂。在拍摄时还原虚拟画面则是难上加难。借助我们的插件,您可以设计想要拍摄的画面,将设置保存到虚拟 CineAlta 中供虚幻引擎调用,然后使用 CineAlta 进行虚拟制作。

清晰可视化预览并简化拍摄设置

CineAlta 摄像机与 Crystal LED 屏让虚拟艺术部门能够创建可视化预览画面,真实展现即将拍摄的内容。与现场团队分享预视画面,让片场工作台的拍摄更加顺利,减少拍摄问题。

提升片场拍摄

将已设置的参数传输到实体 CineAlta 摄像机,保存视觉创意。通过虚幻引擎上的简单易用的图形用户界面监视并管理 CineAlta 设置。善用实时摩尔纹示警*2,提高拍摄效率和质量。

Color Calibrator
虚拟制作色彩校准工具

重新定义色彩,让虚拟制作更智能

在拍摄之前为虚拟制作校正色彩,拍摄更高效,后期制作工作更少,提前调整 LED 色彩,节约拍摄时间。


镜头
镜头卡口 PL 卡口/ E 卡口(锁定型,不含PL卡口转接基座)
像素
成像设备(类型) 35mm 全画幅 (35.9 x 24.0 mm), Exmor RS CMOS 影像传感器
总像素数 约5700万
有效像素数 约4190万
记录
录制格式 视频:X-OCN(LT), XAVC H Intra HQ, XAVC H Intra SQ, XAVC H Long, XAVC Intra, XAVC Long
音频格式 4声道(48kHz 24bit)
摄影机部分
动态范围 16 档
光学低通滤波器 是
内置ND CLEAR, 无级ND (0.6(1/4) - 2.1(1/128))
增益调节 -3 to 18 dB (every 1 dB)
白平衡范围 2000 K - 15000 K
影像功能
TC/UB 是
代理录制 是
快慢动作录制 (S&Q) 是
支持的存储卡
存储卡 A卡槽: CFexpress Type B card,
B卡槽: CFexpress Type B card,
SD卡槽
对焦系统
类型 自动对焦系统 (相位检测对焦 / 对比度检测对焦)
对焦点 最多627 点 (相位检测对焦点)
识别主体类型 人
其他对焦功能 AF摄体转移敏度
AF过渡速度
AF帮助
曝光控制
ISO ISO 800/3200 (Cine EI 模式下, Base ISO, D55 光源)
监控
液晶屏 8.8 cm (3.5 英寸) TFT
像素 约276万
触屏操控 是
防抖
类型 带5轴补偿的图像传感器移位机构(补偿取决于镜头规格)
模式 PL 卡口 : 高 / 低 / 关
E卡口 : 动态增强防抖 / 标准 / 关"
输入/输出
SDI 输出 SDI OUT1: BNC型, 12G-SDI, 6G-SDI, 3G-SDI (Level A/B), HD-SDI
SDI OUT2: BNC, 3G-SDI (Level A/B), HD-SDI
HDMI 输出 HDMI (Type-A)
内置麦克风 内置单声道
TC 输入/输出 BNC, TC IN / 可切换输出
扬声器输出 内置单声道
DC 输入 XLR, 11 V to 17 V
蓝牙 -
局域网终端 支持 (1000BASE-T, 100BASE-TX, 10BASE-T)
手柄遥控连接线 支持 (3.5 mm, 4-pole mini jack)
Genlock输入 / Ref输出 BNC, REF IN /可切换输出
Remote接口 支持 (2.5 mm, 3-pole sub-mini type)
XLR audio输入 支持 (3-针 (母线) x2)
无线 LAN接口 (内置) 支持 (Wi-Fi Compatible, IEEE 802.11a/b/g/n/ac (2.4 GHz band/5 GHz band))
电脑接口 大容量存储
耳机接口 支持 (3.5 mm 立体迷你接口)
USB接口 Type-C®接口:超高速 USB 5 Gbps (兼容 USB 3.2)
镜头补偿
镜头补偿 E卡口:阴影,色差,失真,呼吸
一般规格
重量 机身净重:大约2.9 kg (使用PL卡口)
尺寸(宽 x 高 x 深) 约 146 mm x 143 mm x 218 mm (机身无配件突起)
电源要求 电池组 BP-GL95B (单独出售)
功耗 【使用LCD 屏幕】
额定电压:约 50.0 W (当使用X-OCN LT 6K 17:9,不包括手柄遥控与接设备,自动风扇开启)
最大功耗: 约 66.0 W (当环境温度在 40 °C使用X-OCN LT 6K 17:9, ),ND滤镜 (1/4),WI-FI开启,自动散热风扇,使用手柄遥控与接设备。
工作温度 0 - 40 ℃ / 32 - 104 °F
储存温度 -20 to 60 ℃ / -4 to 140 °F